为什么有Buffer Pool?
要想提升查询性能,加个缓存就行了嘛。所以,当数据从磁盘中取出后,缓存内存中,下次查询同样的数据的时候,直接从内存中读取。为此,Innodb 存储引擎设计了一个缓冲池(Buffer Pool),来提高数据库的读写性能。
有了缓冲池后:
- 当读取数据时,如果数据存在于 Buffer Pool 中,客户端就会直接读取 Buffer Pool 中的数据,否则再去磁盘中读取。
- 当修改数据时,首先是修改 Buffer Pool 中数据所在的页,然后将其页设置为脏页,最后由后台线程将脏页写入到磁盘。
Buffer Pool 缓存什么?
InnoDB 会把存储的数据划分为若干个「页」,以页作为磁盘和内存交互的基本单位,一个页的默认大小为 16KB。因此,Buffer Pool 同样需要按「页」来划分。
在 MySQL 启动的时候,InnoDB 会为 Buffer Pool 申请一片连续的内存空间,然后按照默认的**16KB**的大小划分出一个个的页, Buffer Pool 中的页就叫做缓存页。此时这些缓存页都是空闲的,之后随着程序的运行,才会有磁盘上的页被缓存到 Buffer Pool 中。
所以,MySQL 刚启动的时候,你会观察到使用的虚拟内存空间很大,而使用到的物理内存空间却很小,这是因为只有这些虚拟内存被访问后,操作系统才会触发缺页中断,接着将虚拟地址和物理地址建立映射关系。Buffer Pool 除了缓存「索引页」和「数据页」,还包括了 undo 页,插入缓存、自适应哈希索引、锁信息等等。
为了更好的管理这些在 Buffer Pool 中的缓存页,InnoDB 为每一个缓存页都创建了一个控制块,控制块信息包括「缓存页的表空间、页号、缓存页地址、链表节点」等等。
控制块也是占有内存空间的,它是放在 Buffer Pool 的最前面,接着才是缓存页,如下图:
上图中控制块和缓存页之间灰色部分称为碎片空间。
当我们查询一条记录时,InnoDB 是会把整个页的数据加载到 Buffer Pool 中,因为,通过索引只能定位到磁盘中的页,而不能定位到页中的一条记录。将页加载到 Buffer Pool 后,再通过页里的页目录去定位到某条具体的记录。
Buffer pool管理
空闲页管理
Buffer Pool 是一片连续的内存空间,当 MySQL 运行一段时间后,这片连续的内存空间中的缓存页既有空闲的,也有被使用的。那当我们从磁盘读取数据的时候,总不能通过遍历这一片连续的内存空间来找到空闲的缓存页吧,这样效率太低了。
所以,为了能够快速找到空闲的缓存页,可以使用链表结构,将空闲缓存页的**「控制块」**作为链表的节点,这个链表称为 Free 链表(空闲链表)。

Free 链表上除了有控制块,还有一个头节点,该头节点包含链表的头节点地址,尾节点地址,以及当前链表中节点的数量等信息。
Free 链表节点是一个一个的控制块,而每个控制块包含着对应缓存页的地址,所以相当于 Free 链表节点都对应一个空闲的缓存页。
有了 Free 链表后,每当需要从磁盘中加载一个页到 Buffer Pool 中时,就从 Free链表中取一个空闲的缓存页,并且把该缓存页对应的控制块的信息填上,然后把该缓存页对应的控制块从 Free 链表中移除。
脏页管理
设计 Buffer Pool 除了能提高读性能,还能提高写性能,也就是更新数据的时候,不需要每次都要写入磁盘,而是将 Buffer Pool 对应的缓存页标记为脏页,然后再由后台线程将脏页写入到磁盘。
那为了能快速知道哪些缓存页是脏的,于是就设计出 Flush 链表,它跟 Free 链表类似的,链表的节点也是控制块,区别在于 Flush 链表的元素都是脏页。
有了 Flush 链表后,后台线程就可以遍历 Flush 链表,将脏页写入到磁盘。
提高缓存命中率
Buffer Pool 的大小是有限的,对于一些频繁访问的数据我们希望可以一直留在 Buffer Pool 中,而一些很少访问的数据希望可以在某些时机可以淘汰掉,从而保证 Buffer Pool 不会因为满了而导致无法再缓存新的数据,同时还能保证常用数据留在 Buffer Pool 中。
要实现这个,最容易想到的就是 LRU(Least recently used)算法。
该算法的思路是,链表头部的节点是最近使用的,而链表末尾的节点是最久没被使用的。那么,当空间不够了,就淘汰最久没被使用的节点,从而腾出空间。
简单的 LRU 算法的实现思路是这样的:
- 当访问的页在 Buffer Pool 里,就直接把该页对应的 LRU 链表节点移动到链表的头部。
- 当访问的页不在 Buffer Pool 里,除了要把页放入到 LRU 链表的头部,还要淘汰 LRU 链表末尾的节点。
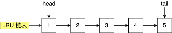
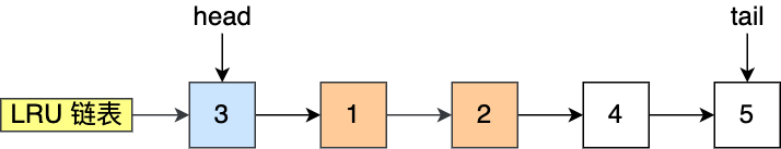
比如下图,假设 LRU 链表长度为 5,LRU 链表从左到右有 1,2,3,4,5 的页。

如果访问了 3 号的页,因为 3 号页在 Buffer Pool 里,所以把 3 号页移动到头部即可。

而如果接下来,访问了 8 号页,因为 8 号页不在 Buffer Pool 里,所以需要先淘汰末尾的 5 号页,然后再将 8 号页加入到头部。

到这里我们可以知道,Buffer Pool 里有三种页和链表来管理数据。

图中:
- Free Page(空闲页),表示此页未被使用,位于 Free 链表;
- Clean Page(干净页),表示此页已被使用,但是页面未发生修改,位于LRU 链表。
- Dirty Page(脏页),表示此页「已被使用」且「已经被修改」,其数据和磁盘上的数据已经不一致。当脏页上的数据写入磁盘后,内存数据和磁盘数据一致,那么该页就变成了干净页。脏页同时存在于 LRU 链表和 Flush 链表。
简单的 LRU 算法并没有被 MySQL 使用,因为简单的 LRU 算法无法避免下面这两个问题:
- 预读失效;
- Buffer Pool 污染;
预读失效
Mysql是有一个预读机制的,会把一个要访问的数据相邻的数据一起拷贝过去,但是有个问题,这一大部分数据全部添加在放到LRU链表的头部,但是相邻的那些数据可能并不会被访问,这样LRU链表的热点数据反而被这些数据挤到了链表末尾
因此Mysql为了解决这个问题,让预留的页停留在Buffer Pool的时间尽可能短。真正被访问的页才放到LRU链表头部,于是他给链表划分了young old区域,默认比里63:37
这样预读的页只需要加入到old头部,被真正访问才插入young区域头部
Buffer Pool 污染
当某一个 SQL 语句扫描了大量的数据时,在 Buffer Pool 空间比较有限的情况下,可能会将 Buffer Pool 里的所有页都替换出去,导致大量热数据被淘汰了,等这些热数据又被再次访问的时候,由于缓存未命中,就会产生大量的磁盘 IO,MySQL 性能就会急剧下降,这个过程被称为 Buffer Pool 污染。
比如,在一个数据量非常大的表,执行了这条语句:
select * from t_user where name like "%xiaolin%";
可能这个查询出来的结果就几条记录,但是由于这条语句会发生索引失效,所以这个查询过程是全表扫描的,接着会发生如下的过程:
- 从磁盘读到的页加入到 LRU 链表的 old 区域头部;
- 当从页里读取行记录时,也就是页被访问的时候,就要将该页放到 young 区域头部;
- 接下来拿行记录的 name 字段和字符串 xiaolin 进行模糊匹配,如果符合条件,就加入到结果集里;
- 如此往复,直到扫描完表中的所有记录。
经过这个过程原本 young 区域的热点数据都会被替换掉。
像前面这种全表扫描的查询,很多缓冲页其实只会被访问一次,但是它却只因为被访问了一次而进入到 young 区域,从而导致热点数据被替换了。
LRU 链表中 young 区域就是热点数据,只要我们提高进入到 young 区域的门槛,就能有效地保证 young 区域里的热点数据不会被替换掉。
MySQL 是这样做的,进入到 young 区域条件增加了一个停留在 old 区域的时间判断。
具体是这样做的,在对某个处在 old 区域的缓存页进行第一次访问时,就在它对应的控制块中记录下来这个访问时间:
- 如果后续的访问时间与第一次访问的时间在某个时间间隔内,那么该缓存页就不会被从 old 区域移动到 young 区域的头部;
- 如果后续的访问时间与第一次访问的时间不在某个时间间隔内,那么该缓存页移动到 young 区域的头部;
这个间隔时间是由 innodb_old_blocks_time 控制的,默认是 1000 ms。
也就说,只有同时满足「被访问」与「在 old 区域停留时间超过 1 秒」两个条件,才会被插入到 young 区域头部,这样就解决了 Buffer Pool 污染的问题 。
另外,MySQL 针对 young 区域其实做了一个优化,为了防止 young 区域节点频繁移动到头部。young 区域前面 1/4 被访问不会移动到链表头部,只有后面的 3/4被访问了才会。
脏页什么时候会被刷入磁盘?
引入了 Buffer Pool 后,当修改数据时,首先是修改 Buffer Pool 中数据所在的页,然后将其页设置为脏页,但是磁盘中还是原数据。
因此,脏页需要被刷入磁盘,保证缓存和磁盘数据一致,但是若每次修改数据都刷入磁盘,则性能会很差,因此一般都会在一定时机进行批量刷盘。
可能大家担心,如果在脏页还没有来得及刷入到磁盘时,MySQL 宕机了,不就丢失数据了吗?
这个不用担心,InnoDB 的更新操作采用的是 Write Ahead Log(WAL) 策略,即先写日志,再写入磁盘,通过 redo log 日志让 MySQL 拥有了崩溃恢复能力。
下面几种情况会触发脏页的刷新:
- 当 redo log 日志满了的情况下,会主动触发脏页刷新到磁盘;
- Buffer Pool 空间不足时,需要将一部分数据页淘汰掉,如果淘汰的是脏页,需要先将脏页同步到磁盘;
- MySQL 认为空闲时,后台线程会定期将适量的脏页刷入到磁盘;
- MySQL 正常关闭之前,会把所有的脏页刷入到磁盘;
在我们开启了慢 SQL 监控后,如果你发现**「偶尔」会出现一些用时稍长的 SQL**,这可能是因为脏页在刷新到磁盘时可能会给数据库带来性能开销,导致数据库操作抖动。
如果间断出现这种现象,就需要调大 Buffer Pool 空间或 redo log 日志的大小。
总结
Innodb 存储引擎设计了一个缓冲池(Buffer Pool),来提高数据库的读写性能。
Buffer Pool 以页为单位缓冲数据,可以通过 innodb_buffer_pool_size 参数调整缓冲池的大小,默认是 128 M。
Innodb 通过三种链表来管理缓页:
- Free List (空闲页链表),管理空闲页;
- Flush List (脏页链表),管理脏页;
- LRU List,管理脏页+干净页,将最近且经常查询的数据缓存在其中,而不常查询的数据就淘汰出去。;
InnoDB 对 LRU 做了一些优化,我们熟悉的 LRU 算法通常是将最近查询的数据放到 LRU 链表的头部,而 InnoDB 做 2 点优化:
- 将 LRU 链表 分为young 和 old 两个区域,加入缓冲池的页,优先插入 old 区域;页被访问时,才进入 young 区域,目的是为了解决预读失效的问题。
- 当**「页被访问」且「 old 区域停留时间超过
innodb_old_blocks_time阈值(默认为1秒)」**时,才会将页插入到 young 区域,否则还是插入到 old 区域,目的是为了解决批量数据访问,大量热数据淘汰的问题。
可以通过调整 innodb_old_blocks_pct 参数,设置 young 区域和 old 区域比例。
在开启了慢 SQL 监控后,如果你发现「偶尔」会出现一些用时稍长的 SQL,这可因为脏页在刷新到磁盘时导致数据库性能抖动。如果在很短的时间出现这种现象,就需要调大 Buffer Pool 空间或 redo log 日志的大小。